Waxes
To my knowledge, there is no satisfactory definition of the word "wax" in chemical terms. It is derived from the Anglo-Saxon word "weax" for beeswax, so a practical definition of a wax may therefore be "a substance that resembles beeswax in composition and physical properties". Those of best characterized are often chemically inert, non-polar lipids that are secreted onto the surface of organisms as a defence against biotic and abiotic stresses, although other functions are known. Technologists use the term for a variety of commercial materials of mineral, marine, plant and insect origin that contain fatty materials of various kinds, and synthetic waxes are now manufactured as lubricants to replace those once obtained from whales. Here, only those from living organisms are described, and waxes of mineral origin, such as montan wax, are not discussed. For practical convenience, alkylresorcinols are treated below, although their connection to main-stream waxes is tenuous.
1. Wax Components
Biochemists often link waxes with the thin layer of fatty constituents that cover the leaves of plants or provide a surface coating for insects or the skin of animals for which the primary requirements are hydrophobicity, spreadability, and chemical and metabolic stability. Such surface waxes are synthesised by specialized cells or glands, and all tend to contain wax esters as major and perhaps defining components, i.e., esters of long-chain fatty alcohols with long-chain fatty acids.

The nature of the other lipid constituents can vary greatly with the source of the waxy material, but they include hydrocarbons (e.g., alkanes and squalene), sterol esters, aliphatic aldehydes, primary and secondary alcohols, 1,2-, 2,3- and α,ω-diols, ketones, β-diketones, triacylglycerols, sterols, triterpenes and many more.
![]() |
| Figure 1. Some representative wax constituents. |
The chain-length and degree of unsaturation and branching of the fatty acids and the other aliphatic constituents, varies with the origin of the wax, but other than in some waxes of marine origin or from some higher animals, the aliphatic moieties tend to be saturated or monoenoic.
2. Plant Waxes
In the epidermal cells of plant leaves, the plasma membrane is covered by the cell wall structure, then a cutin layer and finally a coating of a thin layer of hydrophobic waxy material that is microcrystalline in structure and is the outermost boundary of the cuticular membrane, i.e., it is the interface between the plant and the atmosphere. This wax layer serves many purposes, for example to limit the diffusion of water and solutes and control gas exchange, while permitting a controlled release of volatiles that may deter pests or attract pollinating insects. It provides protection from ultraviolet light, disease and insects, and it helps the plants to resist drought and other environmental stresses. Most analytical studies have dealt with the epicuticular layer, i.e., on the surface of the cutin scaffold, as this is easily extracted for analysis, but there is also an intracuticular wax, i.e., embedded in the cutin polymer, that is less well studied but is reported to be the more important transpiration barrier. As plants cover much of the earth's surface, it seems likely that plant waxes are among the most abundant of all natural lipids.
For practical reasons, cutin per se is discussed in another web page; it is a complex polyester with linear and branched chains that consist mainly of mono-, di- and trihydroxy fatty acids together with α,ω‑dicarboxylic fatty acids; the last may be linked via glycerol moieties.
The range of lipid types in plant waxes is highly variable, both in nature and in composition, and Table 1 illustrates some of this diversity in the main components.
Table 1. The major constituents of plant leaf waxes. |
||
| n-Alkanes | CH3(CH2)xCH3 | 21 to 35C - odd numbered |
| Alkyl esters | CH3(CH2)xCOO(CH2)yCH3 | 34 to 62C - even numbered |
| Fatty acids | CH3(CH2)xCOOH | 16 to 32C - even numbered |
| Fatty alcohols (primary) | CH3(CH2)yCH2OH | 22 to 32C - even numbered |
| Fatty aldehydes | CH3(CH2)yCHO | 22 to 32C - even numbered |
| Ketones | CH3(CH2)xCO(CH2)yCH3 | 23 to 33C - odd numbered |
| Fatty alcohols (secondary) | CH3(CH2)xCHOH(CH2)yCH3 | 23 to 33C - odd numbered |
| β-Diketones | CH3(CH2)xCOCH2CO(CH2)yCH3 | 27 to 33C - odd numbered |
| Triterpenes | sterols, α-amyrin, β-amyrin, uvaol, lupeol, erythrodiol, etc. | |
| Triterpenoid acids | ursolic acid, oleanolic acid, etc. | |
In addition to those listed, there may be hydroxy-β-diketones, oxo-β-diketones, alkenes, branched alkanes, acids, esters, acetates and benzoates of aliphatic alcohols, methyl, phenylethyl and triterpenoid esters, polyketides and many more, some of which have specialized functions. Of these, triterpenoids tend to be more abundant in the intracuticular layer where they may assist in stabilizing the layer. Phytol released by the catabolism of chlorophyll in plants is stored in leaves and fruit of some plant species and in mosses and algae as an ester with fatty acids. In this state, phytol cannot disrupt membranes, but when required it can be released and utilized as a biosynthetic precursor for tocopherol and perhaps fresh chlorophyll. Polar complex lipids are rarely encountered in waxes in other than trace amounts.
The amount of each lipid class and the nature and proportions of the various molecular species within each class vary greatly according to the plant species and the site of wax deposition (leaf, flower, fruit, etc.), and some data for some well-studied species are listed in Table 2. It should be noted that these compositions can vary with developmental stage and with abiotic and biotic stresses, such as drought or insect predation, with higher levels of alkanes helping to reduce water loss during drought and increasing amounts of 1-alcohols promoting water evaporation at high temperatures.
Table 2. Relative proportions (wt %) of the common wax constituents in some plant species. |
||||||
| Arabidopsis leaf |
Rape leaf | Apple fruit | Rose flower | Pea leaf | Sugar cane stem |
|
|---|---|---|---|---|---|---|
| Hydrocarbons | 73 | 33 | 20 | 58 | 40-50 | 2-8 |
| Wax esters | 4 | 16 | 18 | 11 | 5-10 | 6 |
| Aldehydes | 14 | 3 | 2 | - | 5 | 50 |
| Ketones | - | 20 | 3 | - | - | |
| Secondary alcohols | 1 | 8 | 20 | 9 | 7 | - |
| Primary alcohols | 8 | 12 | 6 | 4 | 20 | 5-25 |
| Acids | 1 | 8 | 20 | 5 | 6 | 3-8 |
| Other components present include various diol types and triterpenoid acids | ||||||
Carnauba - The leaves of the carnauba palm, Copernicia cerifera from Brazil, have a thick coating of wax, which can be harvested from the dried leaves. It contains mainly wax esters (85%), which constitute C16 to C20 fatty acids linked to C30 to C34 alcohols to give C46 to C54 molecular species, and these are accompanied by small amounts of free acids and alcohols, hydrocarbons and resins. This is the only leaf wax available in sufficient quantities to be of commercial value.
Jojoba - The jojoba plant (Simmondsia chinensis), which grows in the semi-arid regions of Mexico and the U.S.A. has become a substantial crop and is unique in having wax esters rather than triacylglycerols as the storage lipids in its seeds. These consist mainly of 18:1 (6%), 20:1 (35%) and 22:1 (7%) fatty acids linked to 20:1 (22%), 22:1 (21%) and 24:1 (4%) fatty alcohols, and thus it contains C38 to C44 wax esters with one double bond in each alkyl moiety. As methylene-interrupted double bonds are absent, this wax is relatively resistant to oxidation.
Bayberry (Myrica pensylvanica) fruits are covered with a thick layer of crystalline wax (30% of the dry weight), which consists of triacylglycerols and diacylglycerols esterified exclusively with saturated fatty acids, mainly 14:0 and 16:0; this may attract birds as an aid to seed dispersal. Biosynthesis and secretion differ from conventional plant waxes and are more closely related to cutin production with distinct pools of acyl donors and the final assembly of triacylglycerols outside of cells. The Japanese sumac tree (Rhus verniciflua) has a similar wax ('Japan wax').
Policosanol is the commercial name for a wax from sugar cane mainly, but often supplemented with waxes from rice bran, wheat germ and others. Octacosanol is the main constituent and active ingredient, and it has been credited with having cholesterol-lowering activity as a nutraceutical, especially when esterified with fatty acids, possibly by modulating fatty acid and cholesterol biosynthesis. By targeting, PPARα and PPARδ, it may have benefits towards lipid catabolism and thermogenesis in adipose tissue.
Biosynthesis of Plant Waxes
Because of their biochemical significance and relative ease of access, the waxes of the plant cuticle have received most study. All the aliphatic components of plant waxes are synthesised in the epidermal cells from saturated very-long-chain fatty acids (commonly C20 to C34). 16:0 and 18:0 fatty acids are first synthesised in the stroma of plastids by the soluble enzymes forming the fatty acid synthase complex. The resulting acyl-ACP are hydrolysed by thioesterases to free fatty acids, which are esterified to coenzyme A before translocation to the endoplasmic reticulum. In the second stage, multiple elongation steps are catalysed by membrane-associated multi-enzyme complexes, known as fatty acid elongases (ELOVL - see our web page on the biosynthesis of saturated fatty acids), requiring CER2-LIKE proteins (related to acyltransferases) to change the chain-length specificity of the elongation machinery. As in fatty acid synthesis de novo, there are four reactions for each two-carbon extension of the chain: condensation between a CoA-esterified fatty acyl substrate and malonyl-CoA, followed by a β‑keto reduction, dehydration and an enoyl reduction to yield saturated very-long-chain fatty acids. A specific β‑ketoacyl-CoA synthase (KCS6) enzyme is the main controller of wax fatty acid biosynthesis and thence of wax production in general. Wax acids can be released in the unesterified state for export directly as cuticular waxes, or they can be further processed.
There are then two main pathways for biosynthesis of wax components in the endoplasmic reticulum of plastids of the epidermal cells: an acyl reduction pathway, which yields primary alcohols and wax esters, and a decarbonylation pathway that results in synthesis of aldehydes, alkanes, secondary alcohols and ketones. In the reductive pathway, acyl-CoA esters from chain elongation are reduced in a two-step process via a transient aldehyde intermediate, catalysed by acyl-CoA reductases in the endoplasmic reticulum that use NAD(P)H as reducing equivalents. This family of enzymes is necessary for wax production in seeds and for the accumulation of leaf surface waxes and suberin. Other reductases are soluble plastid proteins that can use both acyl-ACP and acyl-CoA as substrate and are used mainly in the biosynthesis of sporopollenin, the structured outer wall of pollen.
![]() |
| Figure 2. Biosynthesis of fatty alcohols and wax esters in plants. |
Primary alcohols can be exported directly to the surface of the plant or are first esterified by acyl-CoAs to form wax esters. In A. thaliana, this reaction is catalysed by the dual-purpose wax ester synthase/acyl-CoA:diacylglycerol acyltransferase 1 (WSD1). An enzyme with some sequence similarity to this has been characterized from microsomal fractions of seeds of the jojoba plant, and this is responsible for making the storage wax in lipid droplets in oil seeds, including a surface layer of oleosins, and comparable to those containing triacylglycerols in most other plants. Analogous mechanisms have been revealed in studies with insects, algae and birds (uropygial glands).
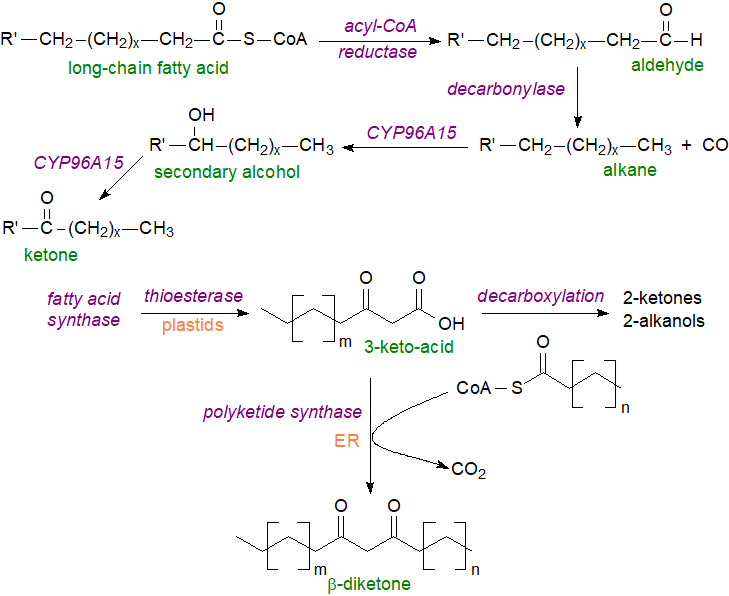
A few only of the enzymes for wax synthesis have been fully characterized. In the decarbonylation pathway for the synthesis of wax constituents, the first step is again the reduction of acyl-CoA ester to an aldehyde by means of an acyl-CoA reductase. Removal of the carbonyl group by an aldehyde decarbonylase yields an alkane, with one fewer carbon atom than the fatty acid precursor. Further metabolism of the hydrocarbon is then possible by two consecutive reactions catalysed by the cytochrome P450 enzyme CYP96A15, referred to as mid-chain alkane hydroxylase MAH1, to insert a hydroxyl group to form a secondary alcohol and thence a ketone, with the position of the substitution depending on the species and the specificities of the enzymes. Secondary alkanols can in turn be esterified to wax esters. An associated pathway leads to the formation of β-diketones, diols and other wax constituents with two or more substituent groups. cis-9-Alkenes in leaf waxes can degrade spontaneously by oxidative cleavage to generate volatile aldehydes with a potential signalling role.
![]() |
| Figure 3. Biosynthesis of hydrocarbons, secondary alcohols and ketones in plants. |
In contrast, the common C31 β-diketone is synthesised by condensation of two C16 groups, a 3-ketoacid (an intermediate in fatty acid synthesis or elongation in the plastids) and an acyl-CoA, in a reaction catalysed by a polyketide synthase located in the endoplasmic reticulum, implying substrate transfer between these sub-cellular compartments.
Once synthesised, the wax components must be exported from the sites of lipid synthesis in the plastid and the endoplasmic reticulum to the Golgi- and trans-Golgi network, where a protein termed ECHIDNA regulates transport in secretory vesicles through the plasma membrane. They must pass thence into the cutin layer, a matrix within and upon which the waxes are deposited. The regulatory mechanisms behind cuticular wax biosynthesis are complex and must strike a balance between optimal growth and development and defence against abiotic and biotic stresses. In Arabidopsis, wax synthesis is induced by wounding and is dependent upon jasmonoyl-isoleucine concentrations with increased gene expression dependent on abscisic acid. Some plant pathogens, especially fungi, have esterases that can break down waxes, but the plant can usually respond by synthesising oxylipins as a defence measure.
3. Waxes from Animal Tissues
Waxes associated with skin
In mammals, the main wax production is associated with the sebaceous glands of the skin, most of which are associated with hair follicles, although there are related structures on the eyelids termed Meibomian glands. Sebaceous glands secrete mainly non-polar lipids in sebum onto the skin surface, where they are easily recovered for analysis. In humans, sebaceous glands are distributed throughout the body except for the palm of the hand and sole of the foot. They consist of three type of cells, peripheral undifferentiated cells, cells that have lipid bodies, and lysing cells loaded with lipid that empty their contents into the lumen. Although relatively few species have been studied in real detail, it is evident that a wide range of lipid classes are present and that these vary greatly in amount and nature among species with some variation with age. The composition of human sebum differs appreciably from that of other species in the high content of triacylglycerols and in the nature of the fatty acids. Some typical data are listed in Table 3.
Table 3. Relative composition (wt % of the total) of the non-polar lipids of from the skin surface of various species. |
|||||||||
| Squalene | Sterols | Sterol esters | Wax esters | Diesters | Glyceryl ethers | Triacyl- glycerols |
Free acids | Free alcohols | |
|---|---|---|---|---|---|---|---|---|---|
| Human | 12 | 1 | 3 | 25 | 41 | 16 | |||
| Sheep | 12 | 46 | 10 | 21 | 11 | ||||
| Rat | 1 | 6 | 27 | 17 | 21 | 8 | 1 | ||
| Mouse | 13 | 10 | 5 | 65 | 6 | ||||
| Adapted from Downing, D.T. Mammalian waxes. In: Chemistry and Biochemistry of Natural Waxes. pp. 18-48 (Ed. P.E. Kolattukudy, Elsevier, Amsterdam) (1976). | |||||||||
The
triterpene hydrocarbon squalene (2,6,10,15,19,23-hexamethyltetracosa-2,6,10,14,18,22-hexaene) is ubiquitous
in nature but is present in most animal tissues as a minor lipid component only, other than in some marine waxes and especially those of sharks
(Squalus sp. - hence the name).
Sebaceous waxes are the only mammalian tissue where it accumulates in appreciable amounts.
Squalene can move readily through cellular and subcellular membranes, and it can act as an antioxidant by scavenging or quenching free radicals,
breaking lipid peroxidation chains both in the initial and propagation phases.
As the biosynthetic precursor of cholesterol and other sterols, it has special significance,
but it may have its own biological properties, for example in the immune system, and there is increasing interest in it as a functional food.
It may be a factor in non-alcoholic fatty liver disease, and aberrant metabolism may be important in other health conditions, but
suggested benefits towards oxidative stress disorders such as cardiovascular disease appear to be unproven.
The alcohol components of sebaceous wax esters are C24 to C27 iso- and anteiso-methyl-branched, while the fatty acids are mainly C12 to C29 saturated and monounsaturated with a relatively high proportion being branched chain, although the last tend to be trace components only in other organs. Very-long-chain ω‑hydroxy acids are present, and in some the hydroxyl group is esterified with a conventional fatty acid, but the biosynthesis of long-chain and very-long-chain fatty acids by elongases is discussed in our web page dealing with saturated fatty acids. Fatty alcohols are synthesised from the corresponding acids by the action of fatty acyl-CoA reductases with NADPH as the reductant, apparently without an aldehyde as an intermediate. Finally, fatty acids and alcohols are coupled by multifunctional wax synthases (acyl-CoA wax alcohol acyltransferases), designated AWAT1 and AWAT2, although a key enzyme for triacylglycerol biosynthesis, i.e., an acyl CoA:diacylglycerol acyltransferase (DGAT1), is used to synthesise wax and retinol esters in some tissues.
Human sebum is unique in containing cis-6-hexadecenoic acid (6-16:1 or sapienic acid) as the single most abundant fatty acid component, and this is accompanied by an elongation and desaturation product 5,8-octadecadienoic acid (‘sebaleic’ acid), likewise unique to human skin. Sapienic acid is synthesised in the sebaceous glands by the Δ6-desaturase FADS2 utilized for the formation of polyunsaturated fatty acids; it has powerful antibacterial properties against the organisms responsible for acne and the opportunist pathogen Staphylococcus aureus.
Skin contains a wide range of distinctive but more polar lipids based on the ceramide backbone. They have been most studied in the skin of the pig and human, where a range of unusual ceramides have been identified, some of which contain linoleic acid (a) esterified to a hydroxy acid (b) that is in turn linked to a long-chain base (c), and several glucosylceramides, based on similar structures, have been characterized.

Their compositions depend on the particular layer of the skin (epidermis, stratum corneum, etc.). Whether they should truly be called waxes is debatable, and there is much more information on these lipids in our web page on ceramides.
Vernix caseosa is a waxy material that coats the skin of the human foetus and new-born during the third trimester of gestation. In utero, it acts as waterproofing to control the flux of water across the skin and as a protective agent during the final stages of development of the skin. Following birth, it protects the skin against bacterial attack and aids the neonate to adapt to exposure to air. The lipid component includes a high proportion of triacylglycerols and wax esters (with some 1‑O‑acyl ceramides). The latter have a rather unusual pattern of fatty acids in a range of chain-lengths (C10 to C16) with methyl substituents in different even-numbered positions in the alkyl chain, presumably formed during biosynthesis by the replacement of malonyl CoA with a molecule of methyl malonyl CoA at irregular intervals on the growing alkyl chain.
Wool wax (lanolin) - The grease obtained from the wool of sheep during the cleaning or refining process and presumably derived from the sebaceous glands and/or stratum corneum of the skin is rich in wax esters (of 1- and 2-alkanols and of 1,2-diols), sterol esters, triterpene alcohols, free fatty acids and sterols. The nature of the commercial material varies with the degree and type of processing involved, but it can contain up to 50% wax esters and 33% sterol esters. A high proportion of the sterol component is lanosterol, while the fatty acid components are mainly saturated with straight and iso- and anteiso-methyl-branched-chains. This is the only animal wax of commercial value, although others may have crucial functions in the producing organs.
Other animal waxes
Meibomian glands are holocrine glands that are located in the upper and the lower eyelids of humans and most animals, and they secrete an oily, lipid-enriched material, often termed meibum, that is very different in composition from other tissue lipids. This is excreted onto the eye, mixing with tears as the outermost surface layer and a protection from desiccation and bacterial infection, while preventing dry-eye disease. The lipids constitute a mixture of many different classes, including wax esters, cholesterol esters, acylglycerols, diacylated diols, free fatty acids and cholesterol with more than 600 components identified by modern lipidomics methodology. The multitude of different fatty acid components present include very-long chain (C16 to C36), branched-chain, mono-unsaturated (often with a double bond in position 6), and ω-hydroxy and (O‑acyl)‑ω‑hydroxy fatty acids, some of which are unesterified while others are linked to cholesterol or triacylglycerols.
While many aspects of the biosynthesis remain to be elucidated, it is evident that mice and humans have similar gene products and that the wax synthases AWAT1 and AWAT2 are required, both for the synthesis of (O-acyl)-ω-hydroxy fatty acids and wax diesters. Cholesterol synthesis de novo occurs, and there are cholesterol ester synthases. In mice, two isoenzymes of the fatty acyl-CoA reductases (FAR1 and FAR2) have been identified with different substrate specificities: FAR1 generates C16 and C18 fatty alcohols and FAR2 those >C22.
Harderian glands are exocrine glands located deep in the orbit of the eyeball in those terrestrial vertebrates that possess a nictitating membrane, i.e., a protective translucent third eyelid. These are found in many fish, amphibians, reptiles, birds and mammals, but are rare in primates. The gland secretes lipids onto this membrane, and in rodents these consist mainly of alkyldiacylglycerols and wax esters with many different fatty acid constituents from isovaleric up to C30 in chain length and often with hydroxyl groups in position 2. In the rat, the main molecular species of wax ester consists of a 24:1(n‑7) alcohol attached to a 20:1(n‑7) fatty acid.
Marine waxes.
Many marine animals from invertebrates to whales contain appreciable amounts of waxes in the form mainly of hydrocarbons and wax esters, although
glycerol ethers and sterols could be classified as wax components in some species, and they are found in a variety of tissues from fish roe to liver
and muscle.
The wax esters consist of the normal range of saturated, monoenoic and polyunsaturated fatty acids typical of fish,
esterified to mainly saturated and monoenoic alcohols often with the 18:1 fatty alcohol as the main component.
The orange roughy, a fish found predominantly in the seas around New Zealand, has more than 90% of its total lipid as wax esters.
In the hydrocarbon fraction, squalene and other terpenoid hydrocarbons are frequently major constituents,
and they can be accompanied by saturated (straight-chain and methyl-branched), monoenoic and polyenoic components.
Waxes are required for many purposes in fish, from serving as an energy source to insulation, buoyancy and even echo location, but only rarely are they encountered in depot fats. Zooplankton can produce large amounts of wax esters at some stages of their life cycle, and they make a major contribution to the marine food chain, although in general these are broken down in the intestines so their components can be utilized in tissues. Swordfish secrete an oily material consisting largely of methyl esters of fatty acids from glands below the skin in the head that is reported to reduce friction drag and increase swimming efficiency.
Spermaceti or sperm whale oil (wax esters, 76%; triacylglycerols, 23%) was once in great demand as a lubricant but now is proscribed. In toothed whales and dolphins, the wax esters (and triacylglycerols) tend to contain a high proportion of branched-chain fatty acids, including short-chain component such as isovaleric acid, synthesised from amino acid precursors. The relative concentrations of the two main lipid classes in an organ in the head of the animals (termed the ‘melon’) are arranged anatomically in a three-dimensional topographical pattern to enable them to focus sound waves for echolocation.
Bird waxes. The uropygial or preen glands of birds are similar structurally to sebaceous glands, and they secrete waxes that consist largely of wax esters. In monoesters, the fatty alcohol components are usually relatively simple in nature, consisting mainly of normal C16 and C18 saturated compounds, although those with branched chains can make up an appreciable proportion in some species. The chicken and related species contain fatty acid esters of 2,3‑alkanediols. Depending on species, the fatty acids can be highly complex and are often shorter chain than usual with up to four methyl branches (see our web page on branched-chain fatty acids). Mono- and bifunctional wax ester synthases have been characterized, the latter catalysing both wax ester and triacylglycerol synthesis, and both forms differ in their substrate specificities for branched-chain alcohols and acyl-CoA thioesters. The main purpose of the waxes is presumed to be to give a water-proof layer to the feathers, but other functions have been suggested.
Insect surface waxes and related lipids. The external surface of insects is covered by a layer of wax that serves to restrict movement of water across the cuticle and prevent desiccation, while providing a physical barrier to protect against abiotic stresses, such as the penetration of insecticides, chemicals and toxins, and biotic stresses such as attack by microorganisms, parasitic insects and other predators. The nature of this lipid is dependent on species, but in general a high proportion tends to be saturated alkanes, often with one or two methyl branches (C23 to C31), but wax esters, sterol esters, and free fatty alcohols and acids may be present. Some species of insect secrete triacylglycerols in their waxes together with free sterols and other terpenoid components, and aphids are distinctive in that they secrete triacylglycerols containing sorbic (2,4-hexadienoic) acid. Shellac is a polymer of unusual hydroxy fatty acids from the female scale insect, Laccifer lacca.
Some of these lipids can have a further role as pheromones in sexual signalling, and most moth species utilize Type I pheromones derived from fatty acids (C10 to C18) but with a substituent group of a primary alcohol, aldehyde or acetate ester and usually with several double bonds. The best known is bombykol (10E,12Z‑hexadecadien-1-ol), which is synthesised in pheromone glands of adult female silk moths.
Beeswax: the archetypal wax. Glands under the abdomen of bees secrete a wax, which they use to construct the honeycomb, and this is recovered as a by-product when the honey is harvested and refined. It contains a high proportion of wax esters (35 to 80%), which consist of C40 to C46 molecular species, based on 16:0 and 18:0 fatty acids some with hydroxyl groups in the ω-2 and ω-3 positions, while some diesters with up to 64 carbons may be present, together with triesters, hydroxy-polyesters and free acids (which are different in composition and nature from the esterified acids). The hydrocarbon content is highly variable, and much may be "unnatural" in commercial sources, as beekeepers may feed some to bees to improve the yield of honey.
Collembola or springtails, tiny hexapod arthropods, have epicuticular waxes containing a range of different wax components from those in insects, that include novel linear and branched isoprenoid hydrocarbons, and highly branched fatty acid derivatives, sterols and even a hopanoid (diploptene), depending upon species.
Nematode waxes. The dauer-larvae of the nematode Pristionchus pacificus (see or web page on ascarosides) are coated with an extremely long-chain highly unsaturated wax ester (‘nematoil’) that covers the surface of the animal and promotes congregation of numerous individuals into stable 'dauer towers' that can reach a beetle host more easily. Both the acid and alcohol components have C30 chains and cis double bonds in positions 7, 15, 18, 21, 24 and 27.

Digestion and absorption of wax esters: Wax esters in mammalian food are poorly hydrolysed in the digestive system by pancreatic lipase, so they have little nutritional value. However, fish are obviously well adapted to their diet of wax-rich zooplankton, and they have little difficulty in hydrolysing wax esters and assimilating their components into their tissues, presumably with the aid of so-far uncharacterized lipases or esterases.
4. Microbial Waxes
Waxes, often accompanied by triacylglycerols, are known to be produced for storage purposes by many species of prokaryotes, including both Gram-negative and Gram-positive bacteria, when carbon is plentiful but other essential nutrients such as nitrogen are limited. In the Gram-negative Acinetobacter baylyi, biosynthesis of wax esters consists of three enzymatic steps; a fatty acid CoA ester is reduced by an NADPH-dependent fatty acyl-CoA reductase to a long-chain aldehyde, which is further reduced by an aldehyde reductase to a fatty alcohol for esterification with a fatty acyl-CoA by a well characterized dual-purpose enzyme wax ester synthase/diacylglycerol acyltransferase to yield a wax ester. Some species of this genus can synthesise wax esters from long-chain alkanes as the precursors. Halophilic archaea, such as Natronomonas pharaonis, have wax esters and use an alternative fatty acyl-coenzyme A reductase to synthesise fatty alcohols directly. Cyanobacteria of the Prochlorococcus and Synechococcus genera make appreciable amounts of the hydrocarbon pentadecane (C15) by decarboxylation of palmitic acid in nutrient-poor regions of the oceans, but the reason for this is not known.
The mycobacteria produce waxes, termed 'mycoserosates', based on branched-chain alcohols or 'phthiocerols'. These are C34 or C36 branched-chain aliphatic compounds with hydroxyl groups in positions 9 and 11, or 11 and 13, which are esterified with long-chain fatty acids varying in chain length from C18 to C26 and with two to four methyl branches, often at the 2, 4, 6 and 8 positions. In pathogenic mycobacteria such as Mycobacterium tuberculosis, the phthiocerol dimycocerosate esters are major virulence factors. They are present on the outermost surface of the cell wall as part of the mycobacterial outer capsule-like layer and are transferred to macrophage membranes during infections, where their conical structures cause changes in the organization of lipids in the host membranes and enhance phagocytosis. By masking the pattern recognition receptors of macrophages, they enable the organisms to escape immune recognition. Biosynthesis involves chain-elongation of an existing fatty acid by a polyketide synthase.

Structurally related phenylglycolipids with a p-hydroxyphenyl group at the terminus of the phthiocerol chain are highly pathogenic, especially when the hydroxyl group of this is attached to carbohydrate moieties of varying complexity, depending on species, such as trisaccharides with several methoxyl groups in some of the more virulent strains of M. leprae.
Mycobacteria are unusual in a number of other ways in that their cell walls can contain many unique lipids, which include complex trehalose-containing lipids and phosphatidylinositol mannosides amongst others, and links to these are available in the web page describing the distinctive mycolic acids, where there is a more extensive discussion of the cell wall structure and lipid composition of M. tuberculosis.
5. Alkylresorcinols
5-Alkylresorcinols or resorcinolic lipids are minor wax or cell wall constituents of higher plants, although they are present in other plant tissues, including roots, and some forms are found in insects, fungi, algae, slime moulds, mosses and bacteria. They are part of a wider class of phenolic lipids that include the anacardic acids. In structure, they are 5-alkyl-1,3-dihydroxybenzenes in which the alkyl moiety is linear (non-isoprenoid), and they exist in a wide range of chain lengths with varying numbers and positions of double bonds. Species with fully saturated chains tend to be more abundant in cereals, where alkylresorcinols can occur in significant amounts. In rye, 74 species have been characterized with 5-alkyl chain lengths of 14 to 27 carbon atoms and zero to four double bonds, together with oxo groups or 2‑methyl-substituents in the ring. The wax layer of Scilla bifolia, an herbaceous perennial, contains five classes of alkylphenyl lipids, including resorcinols and structurally related methoxy- and methyl-benzene derivatives. Sorgoleone or 2‑hydroxy-5-methoxy-3-[8Z,11Z,14-pentadecatriene]-p-benzoquinone and related molecules are major components of the oily substance exuding from the roots of sorghum (Sorghum bicolor). 2‑Methyl-alkylresorcinols are only present in significant amounts in the pseudo-cereal quinoa.

The two component parts of alkylresorcinols are synthesised in different subcellular compartments. In the biosynthesis of sorgoleone in Sorghum bicolor, a type III polyketide synthase can repeatedly condense a fatty acid substrate, derived from plastids, with malonyl CoA-linked building blocks to give a tetraketide intermediate, which is cyclized and decarboxylated to produce an aromatic ring with a long alkyl tail; other substituents are then added by other enzyme systems. It seems likely that comparable mechanisms are involved in the biosynthesis of other alkylresorcinols, which in general display a wide range of biological activities in plants. They are strongly amphiphilic and serve as antioxidants, with antimicrobial, antiparasitic, cytotoxic and growth regulation properties. Sorgoleone is a growth inhibitor, urushiols (related structurally to the anacardic acids) are the toxic ingredients in poison ivy, and olivetolic acid is a precursor to cannabinoids.
In cereal grains, they are present in bran, the hard outer cell wall comprising pericarp, testa and aleurone layers, but they are not found in the endosperm used to make flour; they have been detected in rice, but not in the edible parts. They are consumed in the human diet in significant amounts with cereal grains, and while they are reported to exert effects in animal cells in vitro, it is not known whether these are observed in vivo although alkylresorcinols in general are reported to be of benefit towards metabolic and immune processes. They are catabolized by oxidation in the liver by a mechanism like that of tocopherols, commencing with ω‑oxidation of the alkyl tail of the molecule catalysed by CYP4F2, followed by β-oxidation to form 3,5‑dihydroxybenzoic acid ultimately, which can be eliminated as the glucuronide or sulfate.
Dialkylresorcinols are synthesised by many bacterial species, including insect and human pathogens of the genus Photorhabdus, where they may have structural roles in membranes. Some may be quorum sensing molecules in the same way as homoserine lactones. They are the main constituents of the outer shell of the cyst of Azotobacter sp., while 2-n-hexyl-5-n‑propylresorcinol is an antibiotic isolated from cultures of Pseudomonas sp. Resorcinolic lipids from Cyanobacteria are structurally distinct from those of heterotrophic bacteria in that they are often halogenated or glycosylated, and they may exhibit intra- or inter-molecular cyclizations.
6. Analysis
Thin-layer and high-performance liquid chromatography have been used to isolate individual classes of waxes for more detailed analysis. On the other hand, much of the more recent published work has made use of high-temperature gas chromatography following trimethylsilylation, ideally in combination with mass spectrometry (electron impact ionization), so that simultaneous identification and quantification of the various molecular species can be achieved.
Further Reading
The best sources of general information on waxes, from which some of the data in this web document have been culled, are the following books (now out of print, unfortunately) -
- Kolattukudy, P.E. (Editor) Chemistry and Biochemistry of Natural Waxes. (Elsevier, Amsterdam) (1976).
- Hamilton, R.J. (Editor) Waxes: Chemistry, Molecular Biology and Functions. (The Oily Press, Dundee) (1995).
In addition -
- Alvarez, H.M. Triacylglycerol and wax ester-accumulating machinery in prokaryotes. Biochimie, 120, 28-39 (2016); DOI.
- Barbero, F. Cuticular lipids as a cross-talk among ants, plants and butterflies. Int. J. Mol. Sci., 17, 1966 (2016); DOI.
- Biester, E.M., Hellenbrand, J., Gruber, J., Hamberg, M. and Frentzen, M. Identification of avian wax synthases. BMC Biochemistry, 13, 4 (2012); DOI.
- Busta, L. and Jetter, R. Moving beyond the ubiquitous: the diversity and biosynthesis of speciality compounds in plant cuticular waxes. Phytochem. Rev., 17, 1275-1304 (2018); DOI.
- Butovich, I.A., McMahon, A., Wojtowicz, J.C., Lin, F., Mancini, R. and Itani, K. Dissecting lipid metabolism in meibomian glands of humans and mice: An integrative study reveals a network of metabolic reactions not duplicated in other tissues. Biochim. Biophys. Acta, Lipids, 1861, 538-553 (2016); DOI.
- Chen J. and Nichols, K.K. Comprehensive shotgun lipidomics of human meibomian gland secretions using MS/MSall with successive switching between acquisition polarity modes. J. Lipid Res., 59, 2223-2236 (2018); DOI.
- Golebiowski, M., Bogus, M.I., Paszkiewicz, M. and Stepnowski, P. Cuticular lipids of insects as potential biofungicides: methods of lipid composition analysis. Anal. Bioanal. Chem., 399, 3177-3191 (2011); DOI.
- Kolattukudy, P.E. Wax esters: chemistry and biosynthesis. In: Lipids and Skin Health, pp. 159-183 (ed. A. Pappas, Springer, NY) (2015); DOI - and other chapters in this book.
- Koopman, H.N. Function and evolution of specialized endogenous lipids in toothed whales. J. Exp. Biol., 221, jeb161471 (2018); DOI.
- Lewandowska, M., Keyl, A. and Feussner, I. Wax biosynthesis in response to danger: its regulation upon abiotic and biotic stress. New Phytol., 227, 698-713 (2020); DOI.
- Micera, M., Botto, A., Geddo, F., Antoniotti, S., Bertea, C.M., Levi, R., Gallo, M.P. and Querio, G. Squalene: more than a step toward sterols. Antioxidants, 9, 688 (2020); DOI.
- Mijaljica, D., Townley, J.P., Spada, F. and Harrison, I.P. The heterogeneity and complexity of skin surface lipids in human skin health and disease. Prog. Lipid Res., 93, 101264 (2024); DOI.
- Prouty, S.M. and Pappas, A. Sapienic acid: species-specific fatty acid metabolism of the human sebaceous gland. In: Lipids and Skin Health, pp. 139-157 (ed. A. Pappas, Springer, NY) (2015); DOI.
- Rens, C., Chao, J.D., Sexton, D.L., Tocheva, E.I. and Av-Gay, Y. Roles for phthiocerol dimycocerosate lipids in Mycobacterium tuberculosis pathogenesis. Microbiology-SGM, 167, 001042 (2021); DOI.
- Trivedi, P. and others. Scratching the surface: The diversity and roles of triterpenoids in plant cuticular waxes. Phytochem. Rev., in press (1925); DOI.
- Tulloch, A.P. Beeswax: structure of the esters and their component hydroxy acids and diols. Chem. Phys. Lipids, 6, 235-265 (1971); DOI.
- Zabolotneva, A.A., Shatova, O.P., Sadova, A.A., Shestopalov, A.V. and Roumiantsev, S.A. An overview of alkylresorcinols biological properties and effects. J. Nutr. Metab., 4667607 (2022); DOI.
- Zhang, X.H., Liu, Y., Ayaz, A., Zhao, H.Y. and Lu, S.Y. The plant fatty acyl reductases. Int. J. Mol. Sci., 23, 16156 (2022); DOI.
![]() |
© Author: William W. Christie | ![]() |
|
| Contact/credits/disclaimer | Updated: January 2026 | ||
© The LipidWeb is open access and fair use is encouraged - but not text and data mining, AI training, and similar technologies (text scraping).




